算数が苦手(汗) 小6編

とにかく算数が苦手というか大嫌い!数字を見るだけもう無理・・・そんな子はいますか?

では何故苦手になったのか??どこから苦手になったのか??

ちょっとチェックしてみませんか?

ちょっと大変だけど頑張ってチェックしてましょう。

苦手な単元が分かれば、復習もしやすいよ。

では、早速頑張ってみよう!

問題は全部で15題

目指せ!全問正解!

 

 

2

算数・数学つまづきチェック(小6編)

計算をしましょう。答えの数字はすべて半角で入力してね。

1 / 15

x÷4×7=105 右の式で、xの値を求めなさい。

2 / 15

( 92 - x )÷6=14     右の式で、xの値を求めなさい。

3 / 15

○と○/○の形で答えてね。

4 / 15

○/○の形で答えてね。

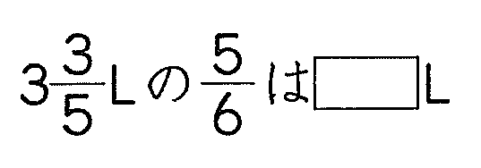
5 / 15

 

○と○/○の形で答えてね。

6 / 15

 

○/○の形で答えてね。

7 / 15

 

○と○/○の形で答えてね。

8 / 15

 

○と○/○の形で答えてね。

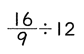
9 / 15

 

○/○の形で答えてね。

10 / 15

 

○/○の形で答えてね。

11 / 15

 

○と○/○の形で答えてね。

12 / 15

分数になおして計算してね。

13 / 15

 

○/○の形で答えてね。

14 / 15

 

単位はいりません。答えのみ書きなさい。

15 / 15

 

○と○/○の形で表してね。

あなたのスコアは

平均スコアは 17%

0%